网站首页
网站支持IPv6
智能问答
无障碍
长者专区
繁
旧版
网站支持IPv6
搜 索
搜服务
长者专区
首页
领导信息
政务服务
政务公开
互动交流
大美中江
您当所在前位置:
首页
>> 中江动态
>> 中江要闻
>> 正文
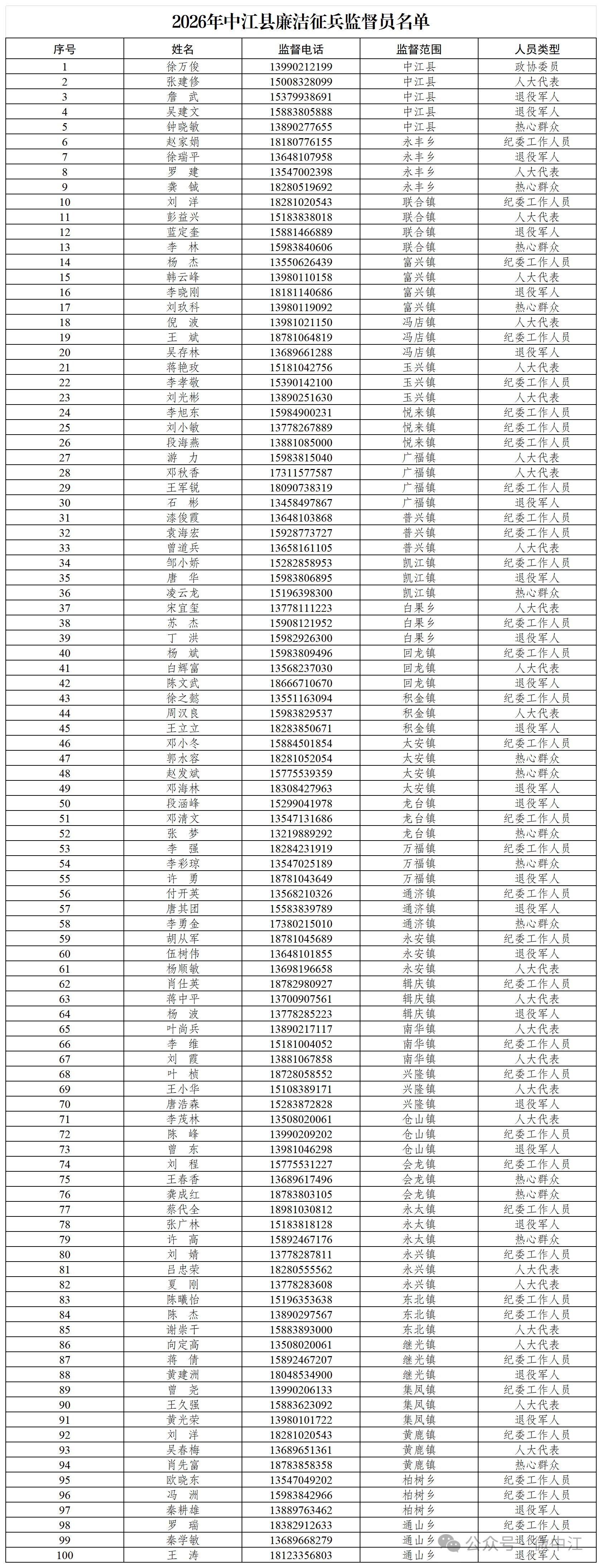
2026年中江县廉洁征兵监督员名单
发布时间: 2026-01-20
来源:中江县融媒体中心
浏览次数:
字体大小:
小
中
大
打印
责任编辑:中江县融媒体中心
扫一扫在手机打开当前页